近日,医学院药学系博士范威在双环化反应领域取得重要进展,该成果发表在JCR Q2区期刊《Tetrahedron》正刊上,题为“Bicyclization reactions of 1-aryl pyrazol-5-amines with 2,2-dihydroxyindene-1,3-dione:Selective synthesis of 2,6-naphthyridinesandpyrrolizines”。范威为论文的独立兼通讯作者,滁州城市职业学院为第一单位(图1)

图1 论文截图
2,6-萘啶是Perophoramidine、CX-4945、Isaindigotidione等活性分子的主要骨架(图2),可用作人体PKD1选择性抑制剂、抗菌剂、蛋白激酶CK2抑制剂等。虽然已经研发了多种合成2,6-萘啶衍生物的方法,但已有合成路径大都是多步合成,后续处理繁琐。因此,探寻一种简单有效并能高区域选择性地合成2,6-萘啶的路线,仍然具有挑战性。

图2 含有2,6-萘啶骨架的活性分子
该论文从茚三酮水合物和氨基吡唑出发,通过控制氨基吡唑C3位的取代基,选择性合成2,6-萘啶和吡咯嗪衍生物(图3)。在构建2,6-萘啶骨架时,涉及双[3 + 2 + 1]杂环化反应,通过6p电环化过程生成了C-C键和C-N键。在构建吡咯嗪骨架时,涉及[3 + 2]和[4 + 1]杂环化反应,提供了探究双环化反应的新视角。以上两种骨架均具有很好的生物活性,在医学上会有广泛的应用。

图3 双环化反应合成2,6-萘啶和吡咯嗪衍生物
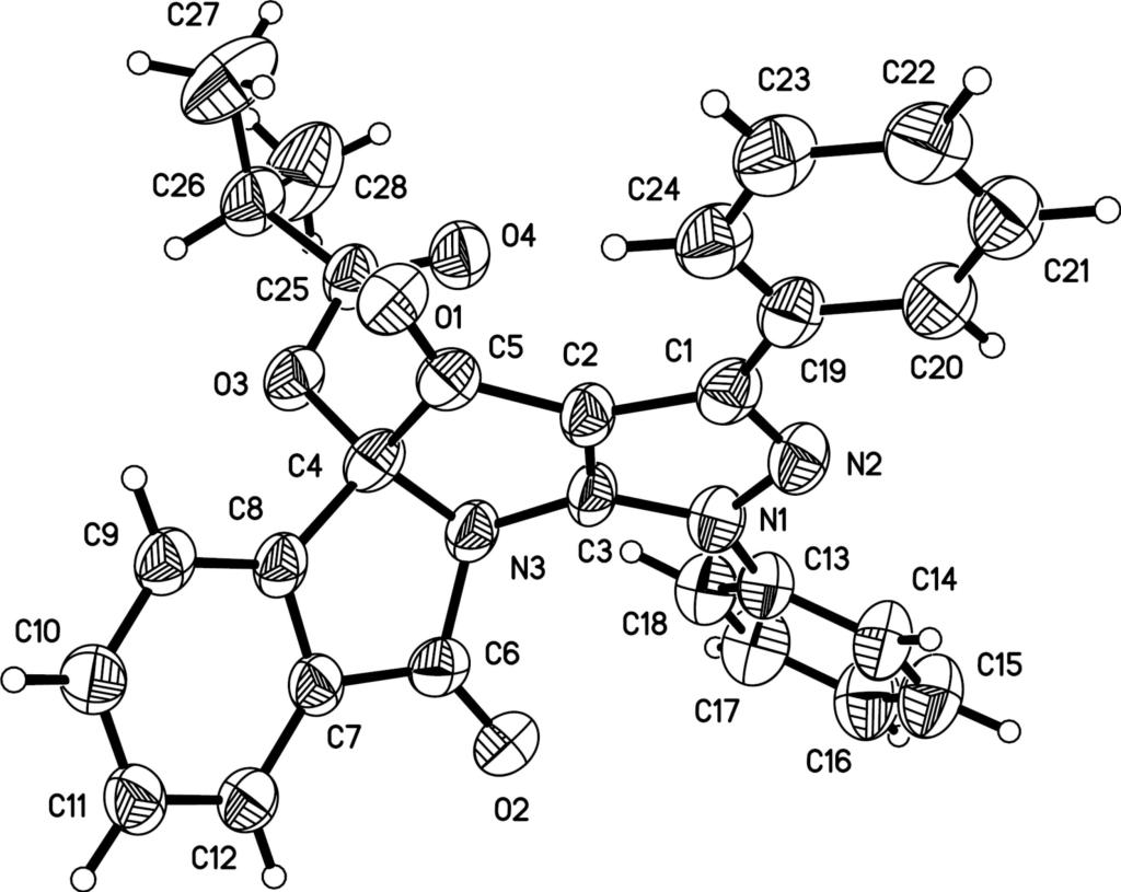
所有产物的结构均经过红外、核磁共振氢谱、核磁共振碳谱、高分辨质谱证实。为了进一步确证产物的结构,测试了2,6-萘啶和吡咯嗪的单晶,分别如图4和图5所示。

图4 2,6-萘啶衍生物的单晶图

图5 吡咯嗪衍生物的单晶图
论文链接:https://www.sciencedirect.com/science/article/abs/pii/S0040402023001643
(图/文:范威;初审:周明月;复审:徐旭;终审:毕璧)